Металл и Чёрт
Nov. 13th, 2021 03:47 pm1735 год, Стокгольм. Начальник Королевского монетного двора Георг Брандт не любил алхимиков и отрицал возможность взаимопревращения металлов. Не раз, порой в присутствии самого короля, он разоблачал мошеннические способы получения золота из низших металлов. А ещё Брандт заведовал химической лабораторией при Совете рудников и постоянно выслушивал жалобы шахтёров на проделки кобольдов, что те сами ничего не добывают, а лишь вредят людям, путают верёвки и обваливают своды шахты.
Старый шахтёр Юхан из местечка Нашкель поведал учёному, что в последнее время кобольды подсовывают им руду, которая выглядит как серебряная, но сколько ни пытались выплавить из неё серебро, получали лишь бесполезный чёрный порошок и вонючий едкий запах. Что за чертовщина! Шахтёры и в церквях молились, и подношения в шахте оставляли серебром и золотом, но кобольды ответили тем, что подсунули ещё больше ядовитой руды. «Сам дьявол со своей адской свитой кобольдов не даёт добрым христианам забрать у природы её минеральные милости», – заключил старик. Брандт извинился, что он не экзорсист, чтобы ловить чертей за хвост, но он посмотрит, чем сможет помочь как химик.

Начал Брандт растворять адский порошок в азотной кислоте, запахло серой, и перед ним, как чёрт из табакерки, появилось существо три фута ростом. Незваный гость был одет в потёртую шахтёрскую одежду и качал большой безобразной головой с огненными глазами. Химик понял, что перед ним тот самый кобольд.
– Думаешь, самый умный? – невежливо начал Чёрт. – Великий Ньютон тоже был начальником монетного двора, а в алхимию верил.
– Нет никаких философских камней и эликсиров бессмертия, – отвечал Брандт. – Мир рационален и познаётся через научный эксперимент.
– Вот как! Тогда давай заключим договор: коли разгадаешь секрет кобольдов – мы оставим шахтёров в покое и даже будем им помогать. А не разгадаешь – отдашь нам свою новорождённую дочку Катарину-Элизабет.
– Принято, – дёрнул чёрт за язык самоуверенного учёного, и Георг потряс протянутую волосатую лапу. – Только Анне-Марии не говорите. Муж и жена – одна сатана, но нервы у неё ни к чёрту.

Брандт был лучшим шведским химиком своего времени, и всем чертям назло определил, что за неприятный запах, отравлявший шахтёров, отвечают сера и мышьяк, превращающиеся при прокаливании в летучие соединения. Мы сейчас знаем, что кобальт обычно встречается в виде сульфидных и арсенидных минералов, таких как кобальтин (CoAsS) и линнеит (Co3S4). А прокаливанием с углём чёрного порошка оксида кобальта(II) (CoO) Брандт сумел получить королёк доселе неизвестного «полуметалла», который назвал “cobalt rex” – «король кобольдов». Ей-богу нужно было перевести этот элемент на русский как бесовий, демоний или чёртий.

Пришлось кобольдам сдержать своё обещание. Ходят они в камне злые как черти и громким стуком предупреждают, куда шахтёрам ходить не следует. Правда, в шахтах поселился другой злобный дух по прозвищу Старый Никкел, но с ним придётся разбираться уже ученику Брандта Акселю Кронстедту. А Катарина Элизабет выросла в прекрасную девушку, вышла замуж и стала матерью важного генерала. История не сохранила изображений самого Георга Брандта (сам чёрт не разберёт почему – рисовать портреты тогда уже умели), но остались его научные статьи и открытия. Он поднял шведскую химию на высочайший уровень, и на протяжении 18–19 веков шведы откроют чёртову уйму химических элементов.

Завистливые немецкие химики не поверили, что Брандт смог раскрыть секрет кобольдов. Уверяли, что его попутал бес, никакого нового металла он не получил и кобальт – это смесь железа или меди с мышьяком. Но в 1780 году учёные подтвердили, что кобальт – отдельный элемент, и он стал первым металлом в истории, для которого мы знаем имя первооткрывателя. При том, что соединения кобальта для окраски стекла в синий цвет человечество использовало чёрт знает сколько лет, начиная с бронзового века: от Древнего Египта до средневекового Китая:

Предполагают, что алхимики могли выплавлять кобальт за несколько столетий до Брандта, но не понимали, что получили новый металл. Сам Брандт верил в то, что металлы – соединения «земли» (оксида) с гипотетической материей флогистоном, а процесс горения сопровождается высвобождением флогистона. Только полвека спустя Лавуазье откроет кислород и составит таблицу, куда с настоящими элементами включит и некоторые оксиды химически активных металлов, которые всё ещё не могли выделить в свободном виде.
Получается, что если бы проницательный шахтёр заявил, что чёрный порошок – оксид доселе неизвестного элемента, первооткрывателем кобальта посчитали его? Чёрта лысого. Всё зависит от того, кто и насколько громко заявляет. Множество таких заявок об открытии элементов впоследствии не подтвердилось, но Брандту повезло несмотря на то, что он тоже не получил чистый кобальт: выделенный им металл имел плотность 7,7 г/см3, а современное значение для кобальта – 8,9.
***
И лишь в 20 веке люди узнали, что со дня творения использовали кобальт для важнейших биохимических реакций. Узрел американец Уильям Мёрфи, что искусственно вызванная анемия у собак может быть вылечена поеданием говяжьей печени. А соотечественники его Джордж Уипл и Джордж Майнот выделили из печени красное водорастворимое вещество, отвечающее за лечебное свойство. Назвали они его витамином B12 и подозревали, что дело в железе, но чёрта с два: по всем анализам вещество содержало не железо, а кобальт. С его помощью врачи смогли лечить у людей «злокачественное малокровие», которое было до того болезнью смертельной и неизлечимой. А троица исследователей получила Нобелевскую премию (НП) по физиологии и медицине за 1934 год.

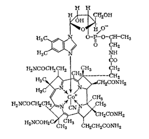
Есть в нашем теле два фермента, чьи названия звучат как заговоры по призыву нечистой силы: метилмалонил-КоА-мутаза и 5-метилтетрагидрофолат-гомоцистеин-метилтрансфераза. Они участвуют соответственно в получении энергии из белков и жиров и в синтезе аминокислоты метионина. В качестве коферментов (химических помощников) они используют кобаламины – хелатные комплексные молекулы, содержащие атом кобальта, которые и составляют группу витаминов B12. Людям непосвящённым в рогатых структурах кобаламинов не понятно ни черта, но я их все равно приведу:

Получается, что в каждом человеке сидит маленький чёртик, без которого нам будет очень плохо. На кой же чёрт природа решила использовать кобальт? Неужели нельзя было обойтись намного более распространённым железом, которое уже входит в состав многих ферментов? Богослов ответит, что сиё есть биохимическое наследие первородного греха. Учёные отметят, что кобаламины – единственный пример в природе ковалентной связи углерода с переходным металлом. Но почему именно кобальт – одному чёрту известно.
Структура витамина B12 сложнее, чем у любого другого витамина, и окончательно её смогла установить в 1956 году британка Дороти Кроуфут-Ходжкин по данным рентгеноструктурного анализа. За неё она получила Нобеля по химии в 1964 году.

Со сложностью этой структуры связана ещё такая история. Когда после 10 класса я был в летнем химическом лагере, каждой палате надо было придумать себе название. А я притащил в лагерь двухтомный учебник «Начала органической химии» Несмеяновых (1974 года издания). Мы открыли его, нашли самую большую и устрашающую структуру, какую только смогли, перерисовали её на листок бумаги и назвали нашу палату «Кобаламин». Я не верил ни в бога, ни в чёрта и не придавал этому названию бесовского смысла.

Но не так страшен чёрт, как его малюют. В 1972 году Роберт Вудворд из Гарварда (гений органического синтеза, уже получивший химическую НП за своё искусство в 1965 году) и Альберт Эшенмозер из цюрихского ETH (который НП пока не получил) сообщили, что их группы смогли совместно синтезировать витамин B12. Чертовски сложный синтез занял 12 лет. Им занимались больше 100 человек, а число стадий по одному из подсчётов составило 95. Ввести кобальт в молекулу не так сложно, как собрать правильно органическую часть с многочисленными стереоцентрами, в которых чёрт ногу сломит. Почитатели Вудворда обязаны посмотреть его лекцию об этой работе. И с тех пор ни одна синтетическая группа не решилась повторить, не то, чтобы улучшить это эпохальное достижение.

Посему о синтетическом витамине B12 приходится забыть. Фиксация кобальта происходит на бактериальном или архейном уровне, но не в растениях или в животных. Так кобольды ставят подножку правоверным веганам, которые еды животного происхождения боятся, как чёрт ладана. И вот приходит Чёрт к такому постнику и начинает его искушать:
– Съешь котлетку из коровы. Съешь сыр. Икры не хочешь? Помрёшь же без витамина B12 от пернициозной анемии и необратимой гибели нервных клеток.
– Ступай к чёрту, – отвечает веган. – Не оскоромлюсь я ни сыром, ни икрой. Пострадаю за веру свою. Коровы мяса не едят, и я есть не буду.
– Дурак! У коров в желудке живут симбиотические бактерии, которые и синтезируют для них этот витамин. А у тебя желудок вовсе не коровий. Слушай, витамин B12 можно получать микробиологически из пропионовокислых бактерий и добавлять в сухие завтраки. И овцы сыты, и волки целы.
– Хм. Где-то ты меня хочешь, Чёрт, обмануть. Все эти «фортифицированные» хлопья – ненатуральная химия от лукавого. Есть такое грешновато.
– Чёрт с тобой. Есть тогда крайнее средство: выращивай на козьем навозе шпинат, собери урожай в полнолуние, и получишь 0,14 мкг витамина B12 на 100 г листьях.

***
Всего в теле взрослого человека содержится 2–5 мг витамина B12, а в кармане многие носят ещё 10 г кобальта. В каждом айфоне черти водятся: около 5% массы телефона – это кобальт. Катод литий-ионных аккумуляторов делается из оксида лития–кобальта(III) LiCoO2. Когда во время циклов разрядки-зарядки ионы лития уходят и приходят, оксид кобальта поддерживает слоистую трёхмерную структуру материала, значительно увеличивая энергоёмкость и время жизни батареи. Катод временно превращается в LixCoO2, где 0 < x < 1 (часть кобальта окисляется до +4).

Использовать этот материал для электрода предложили несколько научных групп в 1980 году. Я не знаю, какому дьяволу продал душу Джон Гуденаф из Оксфорда, но он смог обставить всех конкурентов и дожить до Нобеля по химии, который присвоили за батарейки в 2019 году. Вместе с ним премию разделили Стэнли Уиттингем, который изобрёл более ранний и менее эффективный катод с дисульфидом титана, и Акира Ëсино, который собрал в 1985 году первый практичный литий-ионный аккумулятор:

Если в айфоне 10 г кобальта, то в типичном электромобиле его до черта. Потребность в металле и его добыча резко выросли за последние 20 лет. Содержание кобальта в земной коре 0,003%, и руды с содержанием больше 0,1% считаются промышленными. Текущая цена кобальта $80/кг (для сравнения 1 кг серебра стоит $800, золота – $60 000; железа - 12 центов).

Добывают кобальт у чёрта на куличках: 63% мировой добычи приходится на Демократическую Республику Конго. Владеет шахтами англо-швейцарская компания Glencore, и вся кобальтовая руда отправляется для выплавки металла в Китай на фабрики Zhejiang Huayou Cobalt. В 2017 году Bloomberg писал, что к 2030 году потребность в кобальте вырастет в 47 раз и его производство будет зависеть от ДР Конго, которая, чем чёрт не шутит, станет «Саудовской Аравией эпохи электромобилей». Не знаю, как в Демократической Республике Конго обстоят дела с демократией, но с добычей кобальта у них творится чёрти что.

Где Чёрт, там ничего хорошего не жди. Пришли слухи, что в нарушение древних договорённостей на шахте Мутанда появились кобольды, которые питаются работающими там детьми. Буквально отгрызают ноги шахтёрам. Прогрессивная общественность возмутилась, но так как лезть к чёрту на рога желающих нет, некоммерческие организации подали иск к Apple, Tesla, Dell, Microsoft и Google, обвинив, что те зашибают бешеные деньги на жестоком рабском и детском труде. Компании вину ожидаемо не признали, но пророк зелёных технологий Илон Маск возглавил крестовый поход против кобальта и приказал отказаться от использования чёртова металла в аккумуляторах к две тысячи чёрт-те какому году.
Учёные активно ищут материал для катода без кобальта. Есть литий-железо-фосфатные наработки и варианты с марганцем, никелем и алюминием, но они пока, как говорится, ни богу свечка, ни чёрту кочерга. И чем больше кобальта нам нужно «возобновляемой энергетики», тем больше воды мы льём чёрту на мельницу.
***
Другие мои посты о химических элементах:
Почему элемент литий так называется?.
Экспериментальный пост Титан: Элемент-катастрофа.
О кобальте-чёрте была вставная история в моём романе «Ктулхумицин», если в Части 4 поискать слова «Был вечер накануне Дня Крота».
Старый шахтёр Юхан из местечка Нашкель поведал учёному, что в последнее время кобольды подсовывают им руду, которая выглядит как серебряная, но сколько ни пытались выплавить из неё серебро, получали лишь бесполезный чёрный порошок и вонючий едкий запах. Что за чертовщина! Шахтёры и в церквях молились, и подношения в шахте оставляли серебром и золотом, но кобольды ответили тем, что подсунули ещё больше ядовитой руды. «Сам дьявол со своей адской свитой кобольдов не даёт добрым христианам забрать у природы её минеральные милости», – заключил старик. Брандт извинился, что он не экзорсист, чтобы ловить чертей за хвост, но он посмотрит, чем сможет помочь как химик.

Начал Брандт растворять адский порошок в азотной кислоте, запахло серой, и перед ним, как чёрт из табакерки, появилось существо три фута ростом. Незваный гость был одет в потёртую шахтёрскую одежду и качал большой безобразной головой с огненными глазами. Химик понял, что перед ним тот самый кобольд.
– Думаешь, самый умный? – невежливо начал Чёрт. – Великий Ньютон тоже был начальником монетного двора, а в алхимию верил.
– Нет никаких философских камней и эликсиров бессмертия, – отвечал Брандт. – Мир рационален и познаётся через научный эксперимент.
– Вот как! Тогда давай заключим договор: коли разгадаешь секрет кобольдов – мы оставим шахтёров в покое и даже будем им помогать. А не разгадаешь – отдашь нам свою новорождённую дочку Катарину-Элизабет.
– Принято, – дёрнул чёрт за язык самоуверенного учёного, и Георг потряс протянутую волосатую лапу. – Только Анне-Марии не говорите. Муж и жена – одна сатана, но нервы у неё ни к чёрту.

Брандт был лучшим шведским химиком своего времени, и всем чертям назло определил, что за неприятный запах, отравлявший шахтёров, отвечают сера и мышьяк, превращающиеся при прокаливании в летучие соединения. Мы сейчас знаем, что кобальт обычно встречается в виде сульфидных и арсенидных минералов, таких как кобальтин (CoAsS) и линнеит (Co3S4). А прокаливанием с углём чёрного порошка оксида кобальта(II) (CoO) Брандт сумел получить королёк доселе неизвестного «полуметалла», который назвал “cobalt rex” – «король кобольдов». Ей-богу нужно было перевести этот элемент на русский как бесовий, демоний или чёртий.

Пришлось кобольдам сдержать своё обещание. Ходят они в камне злые как черти и громким стуком предупреждают, куда шахтёрам ходить не следует. Правда, в шахтах поселился другой злобный дух по прозвищу Старый Никкел, но с ним придётся разбираться уже ученику Брандта Акселю Кронстедту. А Катарина Элизабет выросла в прекрасную девушку, вышла замуж и стала матерью важного генерала. История не сохранила изображений самого Георга Брандта (сам чёрт не разберёт почему – рисовать портреты тогда уже умели), но остались его научные статьи и открытия. Он поднял шведскую химию на высочайший уровень, и на протяжении 18–19 веков шведы откроют чёртову уйму химических элементов.

Завистливые немецкие химики не поверили, что Брандт смог раскрыть секрет кобольдов. Уверяли, что его попутал бес, никакого нового металла он не получил и кобальт – это смесь железа или меди с мышьяком. Но в 1780 году учёные подтвердили, что кобальт – отдельный элемент, и он стал первым металлом в истории, для которого мы знаем имя первооткрывателя. При том, что соединения кобальта для окраски стекла в синий цвет человечество использовало чёрт знает сколько лет, начиная с бронзового века: от Древнего Египта до средневекового Китая:

Предполагают, что алхимики могли выплавлять кобальт за несколько столетий до Брандта, но не понимали, что получили новый металл. Сам Брандт верил в то, что металлы – соединения «земли» (оксида) с гипотетической материей флогистоном, а процесс горения сопровождается высвобождением флогистона. Только полвека спустя Лавуазье откроет кислород и составит таблицу, куда с настоящими элементами включит и некоторые оксиды химически активных металлов, которые всё ещё не могли выделить в свободном виде.
Получается, что если бы проницательный шахтёр заявил, что чёрный порошок – оксид доселе неизвестного элемента, первооткрывателем кобальта посчитали его? Чёрта лысого. Всё зависит от того, кто и насколько громко заявляет. Множество таких заявок об открытии элементов впоследствии не подтвердилось, но Брандту повезло несмотря на то, что он тоже не получил чистый кобальт: выделенный им металл имел плотность 7,7 г/см3, а современное значение для кобальта – 8,9.
***
И лишь в 20 веке люди узнали, что со дня творения использовали кобальт для важнейших биохимических реакций. Узрел американец Уильям Мёрфи, что искусственно вызванная анемия у собак может быть вылечена поеданием говяжьей печени. А соотечественники его Джордж Уипл и Джордж Майнот выделили из печени красное водорастворимое вещество, отвечающее за лечебное свойство. Назвали они его витамином B12 и подозревали, что дело в железе, но чёрта с два: по всем анализам вещество содержало не железо, а кобальт. С его помощью врачи смогли лечить у людей «злокачественное малокровие», которое было до того болезнью смертельной и неизлечимой. А троица исследователей получила Нобелевскую премию (НП) по физиологии и медицине за 1934 год.

Есть в нашем теле два фермента, чьи названия звучат как заговоры по призыву нечистой силы: метилмалонил-КоА-мутаза и 5-метилтетрагидрофолат-гомоцистеин-метилтрансфераза. Они участвуют соответственно в получении энергии из белков и жиров и в синтезе аминокислоты метионина. В качестве коферментов (химических помощников) они используют кобаламины – хелатные комплексные молекулы, содержащие атом кобальта, которые и составляют группу витаминов B12. Людям непосвящённым в рогатых структурах кобаламинов не понятно ни черта, но я их все равно приведу:

Получается, что в каждом человеке сидит маленький чёртик, без которого нам будет очень плохо. На кой же чёрт природа решила использовать кобальт? Неужели нельзя было обойтись намного более распространённым железом, которое уже входит в состав многих ферментов? Богослов ответит, что сиё есть биохимическое наследие первородного греха. Учёные отметят, что кобаламины – единственный пример в природе ковалентной связи углерода с переходным металлом. Но почему именно кобальт – одному чёрту известно.
Структура витамина B12 сложнее, чем у любого другого витамина, и окончательно её смогла установить в 1956 году британка Дороти Кроуфут-Ходжкин по данным рентгеноструктурного анализа. За неё она получила Нобеля по химии в 1964 году.

Со сложностью этой структуры связана ещё такая история. Когда после 10 класса я был в летнем химическом лагере, каждой палате надо было придумать себе название. А я притащил в лагерь двухтомный учебник «Начала органической химии» Несмеяновых (1974 года издания). Мы открыли его, нашли самую большую и устрашающую структуру, какую только смогли, перерисовали её на листок бумаги и назвали нашу палату «Кобаламин». Я не верил ни в бога, ни в чёрта и не придавал этому названию бесовского смысла.

Но не так страшен чёрт, как его малюют. В 1972 году Роберт Вудворд из Гарварда (гений органического синтеза, уже получивший химическую НП за своё искусство в 1965 году) и Альберт Эшенмозер из цюрихского ETH (который НП пока не получил) сообщили, что их группы смогли совместно синтезировать витамин B12. Чертовски сложный синтез занял 12 лет. Им занимались больше 100 человек, а число стадий по одному из подсчётов составило 95. Ввести кобальт в молекулу не так сложно, как собрать правильно органическую часть с многочисленными стереоцентрами, в которых чёрт ногу сломит. Почитатели Вудворда обязаны посмотреть его лекцию об этой работе. И с тех пор ни одна синтетическая группа не решилась повторить, не то, чтобы улучшить это эпохальное достижение.

Посему о синтетическом витамине B12 приходится забыть. Фиксация кобальта происходит на бактериальном или архейном уровне, но не в растениях или в животных. Так кобольды ставят подножку правоверным веганам, которые еды животного происхождения боятся, как чёрт ладана. И вот приходит Чёрт к такому постнику и начинает его искушать:
– Съешь котлетку из коровы. Съешь сыр. Икры не хочешь? Помрёшь же без витамина B12 от пернициозной анемии и необратимой гибели нервных клеток.
– Ступай к чёрту, – отвечает веган. – Не оскоромлюсь я ни сыром, ни икрой. Пострадаю за веру свою. Коровы мяса не едят, и я есть не буду.
– Дурак! У коров в желудке живут симбиотические бактерии, которые и синтезируют для них этот витамин. А у тебя желудок вовсе не коровий. Слушай, витамин B12 можно получать микробиологически из пропионовокислых бактерий и добавлять в сухие завтраки. И овцы сыты, и волки целы.
– Хм. Где-то ты меня хочешь, Чёрт, обмануть. Все эти «фортифицированные» хлопья – ненатуральная химия от лукавого. Есть такое грешновато.
– Чёрт с тобой. Есть тогда крайнее средство: выращивай на козьем навозе шпинат, собери урожай в полнолуние, и получишь 0,14 мкг витамина B12 на 100 г листьях.

***
Всего в теле взрослого человека содержится 2–5 мг витамина B12, а в кармане многие носят ещё 10 г кобальта. В каждом айфоне черти водятся: около 5% массы телефона – это кобальт. Катод литий-ионных аккумуляторов делается из оксида лития–кобальта(III) LiCoO2. Когда во время циклов разрядки-зарядки ионы лития уходят и приходят, оксид кобальта поддерживает слоистую трёхмерную структуру материала, значительно увеличивая энергоёмкость и время жизни батареи. Катод временно превращается в LixCoO2, где 0 < x < 1 (часть кобальта окисляется до +4).

Использовать этот материал для электрода предложили несколько научных групп в 1980 году. Я не знаю, какому дьяволу продал душу Джон Гуденаф из Оксфорда, но он смог обставить всех конкурентов и дожить до Нобеля по химии, который присвоили за батарейки в 2019 году. Вместе с ним премию разделили Стэнли Уиттингем, который изобрёл более ранний и менее эффективный катод с дисульфидом титана, и Акира Ëсино, который собрал в 1985 году первый практичный литий-ионный аккумулятор:

Если в айфоне 10 г кобальта, то в типичном электромобиле его до черта. Потребность в металле и его добыча резко выросли за последние 20 лет. Содержание кобальта в земной коре 0,003%, и руды с содержанием больше 0,1% считаются промышленными. Текущая цена кобальта $80/кг (для сравнения 1 кг серебра стоит $800, золота – $60 000; железа - 12 центов).

Добывают кобальт у чёрта на куличках: 63% мировой добычи приходится на Демократическую Республику Конго. Владеет шахтами англо-швейцарская компания Glencore, и вся кобальтовая руда отправляется для выплавки металла в Китай на фабрики Zhejiang Huayou Cobalt. В 2017 году Bloomberg писал, что к 2030 году потребность в кобальте вырастет в 47 раз и его производство будет зависеть от ДР Конго, которая, чем чёрт не шутит, станет «Саудовской Аравией эпохи электромобилей». Не знаю, как в Демократической Республике Конго обстоят дела с демократией, но с добычей кобальта у них творится чёрти что.

Где Чёрт, там ничего хорошего не жди. Пришли слухи, что в нарушение древних договорённостей на шахте Мутанда появились кобольды, которые питаются работающими там детьми. Буквально отгрызают ноги шахтёрам. Прогрессивная общественность возмутилась, но так как лезть к чёрту на рога желающих нет, некоммерческие организации подали иск к Apple, Tesla, Dell, Microsoft и Google, обвинив, что те зашибают бешеные деньги на жестоком рабском и детском труде. Компании вину ожидаемо не признали, но пророк зелёных технологий Илон Маск возглавил крестовый поход против кобальта и приказал отказаться от использования чёртова металла в аккумуляторах к две тысячи чёрт-те какому году.
Учёные активно ищут материал для катода без кобальта. Есть литий-железо-фосфатные наработки и варианты с марганцем, никелем и алюминием, но они пока, как говорится, ни богу свечка, ни чёрту кочерга. И чем больше кобальта нам нужно «возобновляемой энергетики», тем больше воды мы льём чёрту на мельницу.
***
Другие мои посты о химических элементах:
Почему элемент литий так называется?.
Экспериментальный пост Титан: Элемент-катастрофа.
О кобальте-чёрте была вставная история в моём романе «Ктулхумицин», если в Части 4 поискать слова «Был вечер накануне Дня Крота».
no subject
Date: 2021-11-14 12:25 am (UTC)no subject
Date: 2021-11-14 12:38 am (UTC)(no subject)
From:(no subject)
From:(no subject)
From:(no subject)
From:(no subject)
From:no subject
Date: 2021-11-14 03:25 am (UTC)no subject
Date: 2021-11-14 03:41 am (UTC)Сейчас я склоняюсь к тому, что написать интересный роман проще, чем запоминающийся рассказ, но с написанием романов я решил не торопиться. Про кобольдов можно было бы широко развернуться.
no subject
Date: 2021-11-14 03:27 am (UTC)no subject
Date: 2021-11-14 03:43 am (UTC)(no subject)
From:(no subject)
From:no subject
Date: 2021-11-14 03:58 am (UTC)Georgii Agricolae De re metallica
no subject
Date: 2021-11-14 04:02 am (UTC)(no subject)
From:no subject
Date: 2021-11-14 04:47 am (UTC)no subject
Date: 2021-11-14 04:56 am (UTC)(no subject)
From:(no subject)
From:(no subject)
From:(no subject)
From:(no subject)
From:(no subject)
From:no subject
Date: 2021-11-14 04:48 am (UTC)Продолжая медицинскую тему — кобальт нужен для изготовления протезов, прежде всего зубных, и стентов, применяемых в кардиохирургии. Здесь срабатывают его высокая стойкость к коррозии в агрессивных средах и высокая прочность, присущая его сплавам. Будут задействованы и другие его полезные свойства: с конца прошлого века ведутся работы по изготовлению из высокомагнитного соединения кобальта крепежа для съемных протезов зубов. Обычно их прикрепляют пружинными замками к здоровым зубам или имплантатам, но магнитные защелки добровольцы сочли более удобными. Опыты же на крысах показали, что постоянное магнитное поле в районе десен на здоровье не сказывается. Правда, человек с такими магнитами не сможет проходить магнитную томографию. Но пока еще магнитный крепеж не получил широкого распространения". (Полный вариант статьи читайте в октябрьском номере "Химии и жизни" за 2013 год).
"Не знаю, как вы, а я долгое время чувствовал беспокойство при упоминании кобальта: он ассоциировался у меня в первую очередь с радиоактивными осадками. Но это относится только к конкретному изотопу 60Co. Он действительно очень радиоактивен и составлял смертоносный компонент осадков, выпадавших в 50-х годах после атмосферных испытаний атомного оружия. При этом сам кобальт не радиоактивен.
Это вполне обычный металл, похожий на никель (28), и используется кобальт, как и его соседи по таблице, главным образом для получения легированной стали. Кобальтовая сталь — один из самых прочных и твёрдых сплавов для изготовления свёрл и фрез".
"Химия и жизнь", #11, 2013
no subject
Date: 2021-11-14 05:00 am (UTC)no subject
Date: 2021-11-14 05:05 am (UTC)У меня по соединениям кобальта не было научных работ. Зато в детстве, лет в пять или шесть, я нашел у бабушек-дедушек советскую книжку пятидесятых годов "Атом — гигант". И вот там было про изотоп кобальта-60, которым уже тогда пытались лечить рак. А еще можно из природного Co сделать оболочку для атомной бомбы, тогда получится бомба кобальтовая, с повышенным радиоактивным заражением. Я это запомнил, и при случае потряс родителей своими познаниями, правда слово кобальт произнес как кольбат (ударение как в слове комбат).
no subject
Date: 2021-11-14 05:20 am (UTC)В американской книжке-бестселлере об элементах «Исчезающая ложка» о кобальте рассказывается исключительно в связи с кобальтовой бомбой. Там автор про каждый элемент рассказывает одну байку, зато самую впечатляющую. Я в посте решил обойтись тремя историями. Ещё много можно написать о кобальтовых красках и стекле.
Я на постдоке попробовал в качестве побочного проекта разработать кобальтовый катализ для борилирования вместо родиевого/иридиевого, но ничего не получилось. Потом люди очень похожую работу опубликовали, но там сложный лиганд оказался нужен (но не такой гигантский как в витамине B12), а я только готовые из банки перебирал.
no subject
Date: 2021-11-14 06:19 am (UTC)no subject
Date: 2021-11-14 06:22 am (UTC)(no subject)
From:(no subject)
From:(no subject)
From:(no subject)
From:(no subject)
From:no subject
Date: 2021-11-14 09:09 am (UTC)no subject
Date: 2021-11-14 05:33 pm (UTC)no subject
Date: 2021-11-14 09:39 am (UTC)no subject
Date: 2021-11-14 05:35 pm (UTC)no subject
Date: 2021-11-14 01:49 pm (UTC)no subject
Date: 2021-11-14 05:36 pm (UTC)(no subject)
From:(no subject)
From:(no subject)
From:no subject
Date: 2021-11-14 06:07 pm (UTC)no subject
Date: 2021-11-14 06:31 pm (UTC)no subject
Date: 2021-11-14 10:05 pm (UTC)Полжизни с кобальтом наперевес,
я токарь,и кобальт-одна из важнейших
составляющих твердых сплавов режущего ин-та,
Т15К6, ВК8М...
no subject
Date: 2021-11-14 11:23 pm (UTC)До батареек почти весь добытый кобальт использовался в разных сплавах. Я уж не стал запихивать в один пост все-все его применения и свойства, как когда-то сделал с титаном.
no subject
Date: 2021-11-15 07:24 am (UTC)Про витамин В12 интересно. А у Акиры Ёсино тысяча чертей в глазах.
no subject
Date: 2021-11-15 07:37 am (UTC)Медицинская химия и химия еды — популярные темы, но я в них не специалист и порой боюсь что-нибудь написать, чтобы не восприняли за совет, что надо есть, а что не надо.
(no subject)
From:no subject
Date: 2021-11-15 05:18 pm (UTC)no subject
Date: 2021-11-15 05:38 pm (UTC)Но когда читателям всё интересно, о чём я пишу, мне сложнее выбрать, о чём писать дальше, так как обо всём сразу не напишешь.
no subject
Date: 2021-11-15 08:36 pm (UTC)no subject
Date: 2021-11-15 09:46 pm (UTC)no subject
Date: 2021-11-16 01:11 am (UTC)no subject
Date: 2021-11-16 02:28 am (UTC)no subject
Date: 2021-11-17 01:48 am (UTC)no subject
Date: 2021-11-17 02:19 am (UTC)no subject
Date: 2021-11-17 06:46 am (UTC)no subject
Date: 2021-11-17 06:56 am (UTC)Уникальность такой связи между углеродом и переходным металлом в живой природе скопировал из Wikipedia. Дополнительно не искал, есть ли что-то ещё. Между полностью ковалентными и полностью ионными связями существуют переходные связи с разной степенью ковалентостью. Где провести черту – очень субъективное решение.
(no subject)
From:no subject
Date: 2021-11-26 01:04 pm (UTC)no subject
Date: 2021-11-26 05:35 pm (UTC)no subject
Date: 2021-11-26 09:12 pm (UTC)no subject
Date: 2021-11-26 10:24 pm (UTC)